Tasa de Costo Efectivo Anual (TCEA)
Información clara sobre el cálculo, la fórmula y los elementos que conforman la TCEA.
¿Qué es la tasa de interés efectiva?
Tasa de interés efectiva: es aquella que transparenta el costo o rendimiento efectivo del microcrédito. La tasa efectiva iguala el valor actual de todas las cuotas
y demás pagos que serán efectuados por el cliente con el monto que efectivamente ha recibido en préstamo.
Para este cálculo se incluirán todas las cuotas por monto del principal e intereses, todos los cargos por comisiones, los gastos por servicios provistos por terceros o cualquier otro gasto en los que haya incurrido la Institución,
que de acuerdo a lo pactado serán trasladados al cliente, incluidos los seguros, cuando corresponda. La tasa efectiva será la única que podrá cobrarse a los usuarios de microcrédito.
(Ver ejemplo de cálculo)
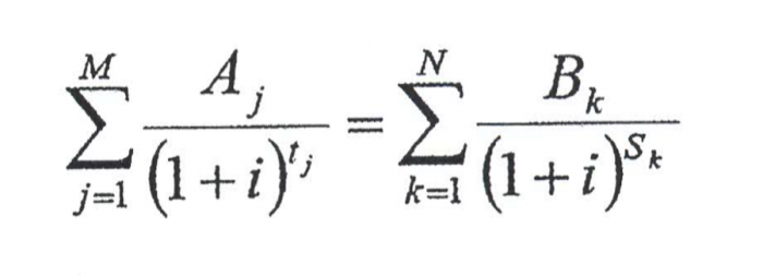
Fórmula de la TCEA
Dónde
Número total de desembolsos del crédito. En caso de créditos con un solo desembolso, esta corresponderá al monto del referido desembolso.
Número consecutivo que identifica cada desembolso del crédito.
Monto del j-ésima desembolso del crédito.
Número total de pagos.
Número consecutivo que identifica cada pago.
Monto del k-ésimo pago.
Intervalo de tiempo, expresado en años y fracciones de año, que transcurre entre la fecha en que surte efecto el contrato y la fecha de la j-ésima disposición del crédito.
Intervalo de tiempo, expresado en años y fracciones de año que transcurre entre la fecha en que surte efecto el contrato y la fecha del k-ésimo pago.
